|
<< Click to Display Table of Contents >> Roller Shutter Box U-Value |
![]() ![]()
|
The U-Value tool Roller Shutter Box U-Value allows you to calculate and display roller shutter box U-Values according to standard EN ISO 10077-2.
The U-Value tool can be activated with the command U-Value in the menu Results or by clicking on the
icon in the Toolbox flyout. Then select Shutter Box Usb-Value as kind in the tool properties (cf. figure 2).
Click with the tool on the result object for which the Usb-Value should be calculated. If flixo recognizes the construction as a roller shutter box according to EN ISO 10077-2, then the Usb-Value will be calculated and displayed, otherwise a corresponding error message will be displayed.
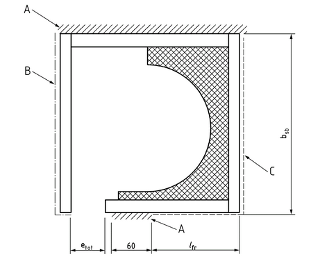
For the calculation of the roller shutter box U-value according to the European standard EN ISO 10077-2, following preconditions have to be fulfilled:
| • | Top of roller shutter box: adiabatic. |
| • | At the bottom of the roller shutter box where it adjoins the window frame: adiabatic for a distance of 60 mm. |
| • | Surface adjacent to the internal environment: Surface resistance of 0.13 m2K/W. |
| • | Surface adjacent to the external environment: Surface resistance of 0.04 m2K/W. |

The method to calculate the frame width (Max. of projections, Cold side projection, Warm side projection) can be customized later in the Properties flyout (cf. figure 1).

Figure 1: Properties Flyout for a Usb-Value Object
The presentation of a Roller Shutter Box U-Value object can be selected in the Style list in the tool properties (cf. figure 2). The list shows all styles for Uf-value objects that have previously been determined in the Styles flyout.
A new Roller Shutter Box U-Value object is always created with the styles currently marked in the Style drop down list. You can either change the selection of the styles in the Styles flyout or select the according style in the Style drop down list of the tool properties.
The styles can also be adjusted afterwards by using the Assign Properties tool or by using the Drag&Drop function (cf. tutorial 1).

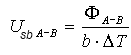
The Roller Shutter Box U-Value is calculated according to EN ISO 10077-2 as follows:


with:
Usb: Roller Shutter Box U-Value [W/m2K]
ΦA-B: Heat flow from A to B (counter-clockwise) [W/m]
b: length of the projection of the roller shutter box AB [m]
ΔT: Temperature difference Interior-Exterior [K]
| • | This tool can only be used on the report page and only if result objects of a previously calculated model are present. |
| • | Only 2 boundary condition temperatures can be present in the model. |
| • | Neither interior borders nor heat sources can be present. |
| • | There are exactly 2 adiabatic boundaries; the distance of the adiabatic boundary at the bottom of the roller shutter box where it adjoins the window frame is 60 mm. |
| • | The temperature differences must have the same values for both sections. |
| • | Resistance of surface adjacent to the internal environment is 0.13 m2K/W. |
| • | Resistance of surface adjacent to the external environment is 0.04 m2K/W. |
| • | Vertical orientation of the roller shutter box (the width of the roller shutter box will be always calculated as vertical projection) |