|
<< Click to Display Table of Contents >> Temperature Tool |
![]() ![]()
|
The Temperature tool lets you retrieve the local temperature at any given point on a calculated model. It also lets you label these local temperatures. The critical humidity (point at which surface condensation forms, and/or at which the predefined surface humidity is reached along with the temperature factor), the fRsi factor, and the surface humidity at a given humidity, are optionally calculated for points on the interior surface.
The temperature tool can be activated with the menu command Temperature in the menu Results or by clicking on the
icon in the Toolbox flyout.
Moving the mouse cursor over a result object allows you to see the local temperature. To add this local temperature to a report, click on the desired location. This will generate a label, which you can move to a desired location by not releasing the mouse button (see figure 1).
If you would like to interrupt the process before a label is created, you can do this with the ESC key.
The type of label (e.g. number of decimal places), the graphic properties of label lines, as well as the optional presentation of additional values of surface points can be changed with the corresponding Style in the Styles flyout.
With the Select, Move, Scale tool and Edit tool respectively, you can change the position of the label and its reference point.

Figure 1: Label of a temperature
You can adjust the critical surface humidity and the humidity of the neighboring rooms, which influences the optional results, in the Properties flyout (cf. figure 2).

Figure 2: Properties flyout of a temperature object lying on the surface
The presentation of an object can be defined in the Style list of the Temperature tool properties. The list shows all styles for temperature objects that have previously been determined in the Styles flyout.
A new temperature object will always be created with the styles currently marked in the Style drop down list (see figure 3). You can either change the selection of the styles in the Styles flyout or in the Style drop down list in the Temperature tool properties.
The styles can also be adjusted afterwards by using the Assign Properties tool or by using the Drag&Drop function (see tutorial 1).

Figure 3: Temperature tool properties
For temperature points on the interior surface an additional temperature factor, the surface humidity and two critical room humidities can be displayed (see figure 1):
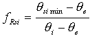
Temperature factor fRsi is calculated according to the following formula:

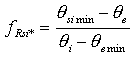
And the temperature factor fRsi* for problems with more than 2 boundary condition temperatures is calculated according to the following formula:

where:
θsi min: surface temperature [°C]
θi: interior boundary condition temperature [°C]
θe: exterior boundary condition temperature [°C]
θe min: lowest exterior boundary condition temperature [°C]
The external temperature, on which the calculation of the temperature factor fRsi is based, can be adjusted in the Properties Flyout (cf. Figure 2).
Surface humidity φsi(*%): This is the humidity on the surface of the temperature point for the room humidity given in the parentheses. The room humidity of the bordering room is defined in the Properties flyout. The surface humidity depends on the selected interior temperature and room humidity. Thus, the surface humidity must be respectively calculated for different interior temperatures and room humidities.
Room humidity φ100%, is shown where condensation forms. If the room humidity is equal or higher than the calculated room humidity φ100% (as in the example above 49%), then condensation forms at this spot. This value depends on the selected interior temperature and therefore the room humidity must be respectively calculated for different interior temperatures.
Room humidity φ80%, is shown at the surface temperature spot where the surface humidity is 80%. In the example above with a 39% room humidity there would be an 80% humidity at that minimum surface temperature spot. This value depends on the selected interior temperature and therefore the room humidity must be respectively calculated for different interior temperatures.
The critical surface humidity (e.g. to analyse a potential mildew problem) as well as the room humidity can be adjusted in the Properties flyout.
| • | The temperature tool can only be used on report pages, and only if a calculated model result object is present. |
| • | The critical room humidities and the surface humidity are only shown, if this option is selected in the corresponding Styles, if the point is on a boundary segment with a temperature/h-value boundary condition, and the temperature is lower than the adjacent room temperature. |
| • | The temperature factor fRsi is only shown if there are exactly two boundary conditions in the model, and the temperature on the surface is lower than the adjacent room temperature. |
| • | The temperature factor fRsi* is shown if there are more than two boundary conditions in the model, and the temperature on the surface is lower than the adjacent room temperature. In general, the temperature factor fRsi* cannot be used for other boundary condition temperatures. |