|
<< Click to Display Table of Contents >> Psi-Value Tool 2 Constructions |
![]() ![]()
|
With the Psi-Value tool kind 2 Constructions you can calculate Ψ-values of constructions, which have 2 connected constructions. You can also calculate joint Ψ-values (ΨTJ-Values) according to EN ISO 12631 using this tool.
The Psi-Value tool allows you to calculate the Ψ-values (previously linear k-value). The Ψ-value, which quantifies additional energy, is a correction value that is caused by linear shaped thermal bridges, and is not taken into account in 1 dimensional energy calculations with U-values.
The magnitude of the Ψ-value depends on several values: the quality of the construction, the quality of the dimensions, as well as the U-value which calculates the loss of heat of the undisturbed component. Hence, it is possible that a poorly insulating flat roof protection has a better Ψ-value than a well insulating window-wall junction, because in the case of the former, the calculation of the Ψ-value is done with exterior measurements through which part of the energy is already covered by thermal bridge energy losses by flat roof and wall measurements. Ψ-values can also be negative.
The calculation of Ψ-values is explained in detail in tutorial 5.
The Psi-Value tool can be activated with the menu command Psi-Value in the menu Results or by clicking on the
icon in the Toolbox flyout. Then select the kind 2 Constructions in the tool properties (cf. figure 2). When the tool is active, the mouse becomes a
.
To calculate the Psi-value three points are required: the first two points define the surface line, through which the effective heat flow should be calculated. You then have to define a third reference point, which divides the surface line in two parts with different U-values.
The surface line is defined by the input of the start and endpoints:
First click on the spot where the surface line should begin. The boundaries of the construction, which come into question for the surface line, will be highlighted as a dashed line. Move your mouse counterclockwise to the desired endpoint. The dashed line now shows the segment through which the heat flow will be calculated. As soon as you click on the endpoint the line will be defined.
If the SHIFT key is pressed while you define the surface line, then the first click sets start and endpoints automatically at the adjacent adiabatic edges (e.g. construction sections).
The Psi-value will be displayed, and the start and end points of the surface line will be labeled.
If you want to interrupt the line input process, then you can use context menu (right click) command Cancel or you can hit the ESC key.
You can change the reference lengths of the base constructions using the Scale, Move, Select tool or Edit tool respectively, by moving the start-, end and reference point. You can also change the text positions of the help objects, of the U-Values of the base construction and the dimension lines using the same tool.
The base values of the Ψ-value calculation, which have a significant influence on the result (U-values of the constructions, length of the components, if the heat flow through the sections at the start- and endpoint should be considered and the temperature difference), can be adjusted afterwards in the Properties flyout (cf. figure 1).

Figure 1: Properties flyout of a Ψ-value object based on 2 constructions
The presentation of a Psi-value object can be defined in the Style list in the Psi-Value tool properties (see figure 2). The list shows all styles for Psi-value objects that have previously been determined in the Styles flyout.
A new Psi-value object will always be created with the styles currently marked in the Style drop down list. You can either change the selection of the styles in the Styles flyout or in the Style drop down list in the Psi-Value tool properties.
The styles can also be adjusted afterwards by using the Assign Properties tool or by using the Drag&Drop function (see tutorial 1).

Figure 2: Psi-Value tool properties
To receive accurate results, the following conditions must be met:
| • | the cross section line should be defined within sections, through which no heat flow flows (e.g. symmetrical axes or on edges where there the boundary condition is set at: heat flux q=0.0 W/m2K). |
| • | If you choose an exterior reference system, start and endpoints should lie on the exterior boundary of the construction. If you choose an interior reference system, start and endpoints should lie on the interior boundary of the construction. Make note of the order of the inputs: also here endpoint inputs are entered counterclockwise. |
| • | Also consider the Comments section in the chapter Physical Explanation. |
The type of label (e.g. number of post-decimal place holders) as well as the graphical properties of the cross section line can be adjusted with the corresponding styles in the Styles flyout.

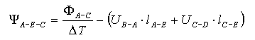
The Ψ-value is calculated as follows:

and calculated as follows if the heat flux through the section should be taken into account (cf. Properties flyout):

where:
ΦA-C: heat flow from A to C (counterclockwise) [W/m]
ΦB-A: heat flow from B to A (counterclockwise) [W/m]
ΦC-D: heat flow from C to D (counterclockwise) [W/m]
ΔT: if there are only two boundary condition temperatures: Temperature difference TA - TB of the boundary condition temperatures TA and TB at the points A and B [K]
ΔT: if there are more than 2 boundary condition temperatures, then the temperature difference will be calculated according to the rule defined in the Properties flyout.
UB-A: U-value for the whole construction from A to E [W/m2K]
UC-D: U-value for the whole construction from E to C [W/m2K]
lA-E: length of the projection of the line segment AE on the perpendicular to the section line AB [m]
lC-E: length of the projection of the line segment CE on the perpendicular to the section line CD [m]
| • | In general, the Ψ-values are dependent on the side of a construction (interior or exterior) for which the value is being calculated. In particular, the relational lines (lA-E and lC-E) can be different. |
| • | If the heat flow exceeds a critical, relatively high value, then the corresponding warning will be shown. You can adjust this value in the Properties flyout. |
| • | All heat flows will be calculated counterclockwise from start to endpoint. |
| • | To calculate the heat flow, all reference points will automatically be shown at the nearest mesh point on the surface. |
| • | The sign of the heat flow is taken into account: heat flows into the system are positive; heat flows out of the system are negative. |
| • | If there are more than 2 boundary condition temperatures in the model, then the Ψ-value depends on the temperature relations, and is not valid for other boundary condition temperatures. The rule for the calculation of the needed temperature difference must be defined in the Properties flyout. |
| • | This tool can only be used on the report page and only if result objects of a previously calculated model are present. |
| • | Neither interior edges nor heat sources can be present. |